PSA for the holidays

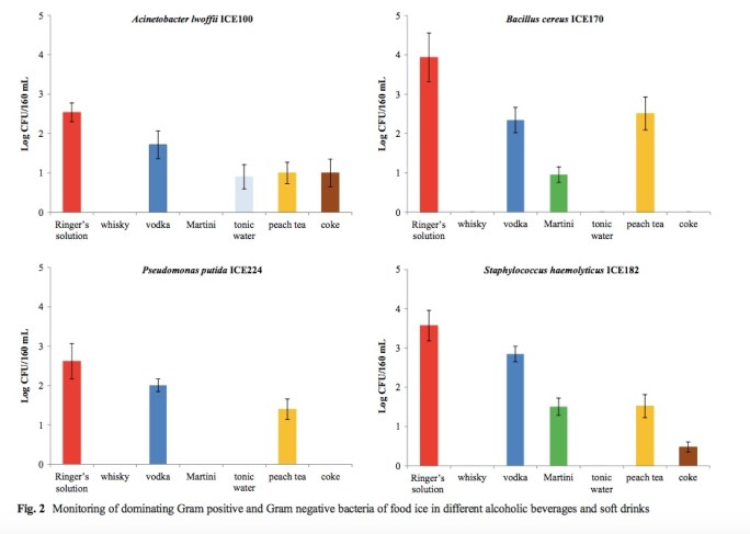
Bacteria Can Live in Ice Cubes, but Not in Whisky

Good to know.

Unknown's avatar

About On the North River

Forty years toiled in the Tel-com industry, married for 36 years widowed at sixty-one. Ten years in a relationship with a woman until her death. Was a Tea Party supporter. Today a follower of the Last American President to be honestly elected, Donald J. Trump. Recently had Ancestry.com tell me I'm Swedish, not Danish. I may need to change my avatar.
This entry was posted in All the News not fit to print., Blogbits. Bookmark the permalink.

Leave a Reply but please keep it Legal.